반응형
250x250
Notice
Recent Posts
Recent Comments
Link
| 일 | 월 | 화 | 수 | 목 | 금 | 토 |
|---|---|---|---|---|---|---|
| 1 | ||||||
| 2 | 3 | 4 | 5 | 6 | 7 | 8 |
| 9 | 10 | 11 | 12 | 13 | 14 | 15 |
| 16 | 17 | 18 | 19 | 20 | 21 | 22 |
| 23 | 24 | 25 | 26 | 27 | 28 | 29 |
| 30 |
Tags
- python #백준 #9375 #패션왕 #신해빈
- dfs #python #leetcode #combination
- dfs #leetcode #python
- dfs #python #leetcode
- python #백준 #2580 #스도쿠 #dfs #백트래킹
- dfs #bfs #트리구조 #이진트리 #leetcode #파이썬 #python
- gcd #최대공약수 #백준 #2981 #검문
- Python #leetcode #dfs #그래프 #백트래킹
- leetcode #subsets #dfs #itertools #python
- dfs #bfs #이진트리 #파이썬 #리트코드
- 파이썬 #zip
- dfs #이진트리 #트리구조 #직렬화 #역직렬화 #파이썬 #리트코드 #leetcode #python
- 리트코드 #팰린드롬 #파이썬
- final #java #자바 #안드로이드
- dfs #bfs #leetcode #python
- leetcode #python #dfs #재귀
- dfs #bfs #트리구조 #이진트리 #leetcode #python #파이썬
- 백준 #파이썬 #bfs #백트래킹 #1697 #숨바꼭질
- 아스테리스크 #Asterisk #파이썬
- 해시테이블 #heapq #파이썬 #리트코드 #알고리즘
- dfs #leetcode #python #graph #그래프
- 다익스트라 #dijkstra #leetcode #파이썬 #python #algorithm #787
- context #android #getApplicationContext #activity #생명주기 #lifecycle
- handler #looper #thread #runnable #핸들러 #루퍼 #스레드 #러너블
- dfs #그래프 #graph #python #leetcode #course #schedule
- exoplayer #mediaplayer #엑소플레이어 #안드로이드 #android
- 다익스트라 #알고리즘 #bfs #그리디 #다이나믹프로그래밍 #leetcode #python
- 2004 #조합 0의 개수 #백준
- AsyncTask #doinbackground #스레드 #thread #android #안드로이드
- 코틀린 #Do it #깡샘 #안드로이드
Archives
- Today
- Total
멋진 개발자가 되고 싶다
[LeetCode/Python] 543.이진 트리의 직경(Diameter of Binary Tree) 본문
Algorithm Study/leetcode
[LeetCode/Python] 543.이진 트리의 직경(Diameter of Binary Tree)
오패산개구리 2021. 8. 7. 16:04728x90
반응형
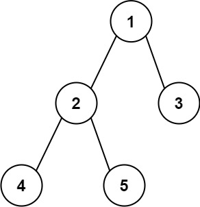
이진 트리에서 두 노드 간 가장 긴 경로의 길이를 출력하라.

Example:
Input: root = [1,2,3,4,5]
Output: 3
Explanation: 3 is the length of the path [4,2,1,3] or [5,2,1,3].
1. 상태값 누적 트리 DFS
|
1
2
3
4
5
6
7
8
9
10
11
12
13
14
15
16
17
18
19
20
21
22
23
24
25
26
27
28
29
30
31
|
# Definition for a binary tree node.
# class TreeNode:
# def __init__(self, val=0, left=None, right=None):
# self.val = val
# self.left = left
# self.right = right
class TreeNode:
def __init__(self, val=0, left=None, right=None):
self.val = val
self.left = left
self.right = right
class Solution:
longest: int = 0
def diameterOfBinaryTree(self, root: Optional[TreeNode]) -> int:
def dfs(node: TreeNode) -> int:
if not node:
return -1
# 왼쪽, 오른쪽의 각 리프 노드까지 탐색
left = dfs(node.left)
right = dfs(node.right)
# 가장 긴 경로
self.longest = max(self.longest, left + right + 2)
# 상태값
return max(left, right) + 1
dfs(root)
return self.longest
|
cs |
해설
가장 긴 경로를 찾는 방법은
일단 리프 노드까지 탐색한 다음
부모 노드로 거슬러 올라가면서 상태 값을 업데이트해 나가는 것이다.
상태 값은
리프 노드를 0으로 하고
위로 올라갈수록 +1되는 느낌으로 가고.

우리가 중요하게 여겨야 할 것은 longest인데
longest = left + right + 2이다.
이는 좀만 생각해보면 아! 할 거다.
상태 값을 누적해나가는 재귀 구조를 이해하고 나면
다른 트리 문제에서도 요긴하게 쓰일 것 같다.
※ 중첩 함수에서 클래스 변수를 사용한 이유
중첩 함수는 부모 함수의 변수를 자유롭게 읽어들일 수 있지만
중첩 함수에서 부모 함수의 변수를 재할당하게 되면 참조 ID가 변경되며 별도의 로컬 변수로 선언된다.
따라서 부모 함수의 변수 값을 변경할 수 없다.
하지만 클래스 변수를 사용할 경우
재할당이 가능하여 이렇게 하였다.
728x90
반응형
'Algorithm Study > leetcode' 카테고리의 다른 글
| [LeetCode/Python] 226.이진 트리 반전(Invert Binary Tree) (0) | 2021.08.07 |
|---|---|
| [LeetCode/Python] 687.가장 긴 동일 값의 경로(Longest Univalue Path) (0) | 2021.08.07 |
| [LeetCode/Python] 104. 이진 트리의 최대 깊이(Maximum Depth of Binary Tree) (0) | 2021.08.07 |
| [LeetCode/Python] 787. Cheapest Flights Within K Stops (0) | 2021.08.01 |
| [LeetCode/Python] 743. 네트워크 딜레이 타임(Network Delay Time) (feat.다익스트라 알고리즘) (0) | 2021.07.29 |