반응형
250x250
Notice
Recent Posts
Recent Comments
Link
| 일 | 월 | 화 | 수 | 목 | 금 | 토 |
|---|---|---|---|---|---|---|
| 1 | ||||||
| 2 | 3 | 4 | 5 | 6 | 7 | 8 |
| 9 | 10 | 11 | 12 | 13 | 14 | 15 |
| 16 | 17 | 18 | 19 | 20 | 21 | 22 |
| 23 | 24 | 25 | 26 | 27 | 28 | 29 |
| 30 |
Tags
- 다익스트라 #알고리즘 #bfs #그리디 #다이나믹프로그래밍 #leetcode #python
- python #백준 #9375 #패션왕 #신해빈
- 아스테리스크 #Asterisk #파이썬
- dfs #leetcode #python
- gcd #최대공약수 #백준 #2981 #검문
- dfs #bfs #leetcode #python
- leetcode #subsets #dfs #itertools #python
- 2004 #조합 0의 개수 #백준
- leetcode #python #dfs #재귀
- dfs #bfs #트리구조 #이진트리 #leetcode #python #파이썬
- dfs #leetcode #python #graph #그래프
- AsyncTask #doinbackground #스레드 #thread #android #안드로이드
- exoplayer #mediaplayer #엑소플레이어 #안드로이드 #android
- Python #leetcode #dfs #그래프 #백트래킹
- dfs #bfs #트리구조 #이진트리 #leetcode #파이썬 #python
- final #java #자바 #안드로이드
- 해시테이블 #heapq #파이썬 #리트코드 #알고리즘
- 다익스트라 #dijkstra #leetcode #파이썬 #python #algorithm #787
- 코틀린 #Do it #깡샘 #안드로이드
- 백준 #파이썬 #bfs #백트래킹 #1697 #숨바꼭질
- dfs #python #leetcode #combination
- handler #looper #thread #runnable #핸들러 #루퍼 #스레드 #러너블
- dfs #그래프 #graph #python #leetcode #course #schedule
- dfs #bfs #이진트리 #파이썬 #리트코드
- 리트코드 #팰린드롬 #파이썬
- dfs #python #leetcode
- context #android #getApplicationContext #activity #생명주기 #lifecycle
- python #백준 #2580 #스도쿠 #dfs #백트래킹
- 파이썬 #zip
- dfs #이진트리 #트리구조 #직렬화 #역직렬화 #파이썬 #리트코드 #leetcode #python
Archives
- Today
- Total
멋진 개발자가 되고 싶다
[LeetCode/Python] 687.가장 긴 동일 값의 경로(Longest Univalue Path) 본문
Algorithm Study/leetcode
[LeetCode/Python] 687.가장 긴 동일 값의 경로(Longest Univalue Path)
오패산개구리 2021. 8. 7. 18:25728x90
반응형
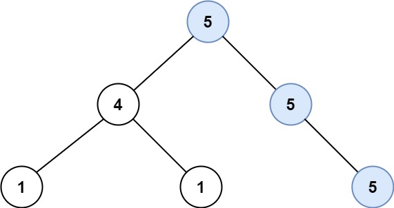
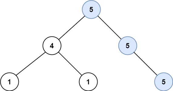
동일한 값을 지닌 가장 긴 경로를 찾아라.
Example

Input: root = [5,4,5,1,1,5]
Output: 2
1. 상태 값 거리 계산 DFS
|
1
2
3
4
5
6
7
8
9
10
11
12
13
14
15
16
17
18
19
20
21
22
23
24
25
26
27
28
29
30
31
32
33
34
35
|
# Definition for a binary tree node.
# class TreeNode:
# def __init__(self, val=0, left=None, right=None):
# self.val = val
# self.left = left
# self.right = right
class Solution:
result = 0
def longestUnivaluePath(self, root: Optional[TreeNode]) -> int:
def dfs(node: TreeNode):
if not node:
return 0
# 존재하지 않는 노드까지 DFS 재귀 탐색
left = dfs(node.left)
right = dfs(node.right)
# 현재 노드가 자식 노드와 동일한 경우 거리 1 증가
if node.left and node.left.val == node.val:
left += 1
else:
left = 0
if node.right and node.right.val == node.val:
right += 1
else:
right = 0
# 왼쪽과 오른쪽 자식 노드 간 거리의 합 최댓값이 결과
self.result = max(self.result, left + right)
# 자식 노드 상태값 중 큰 값 리턴
return max(left, right)
dfs(root)
return self.result
|
cs |
해설
리프 노드까지 DFS으로 탐색해 내려간 다음
값이 일치할 경우 거리를 차곡차곡 쌓아 올려가며 백트래킹 하는 형태로 풀이하였다.
result는 동일 값의 길이니까 left + right가 맞고
다만 return되는 값은 result랑 상관없이 그 부분에서의 상태 값인 거니까
left와 right 중에 큰 값을 선택한다.
728x90
반응형
'Algorithm Study > leetcode' 카테고리의 다른 글
| [LeetCode/Python] 297.이진 트리 직렬화 & 역직렬화(Serialize and Deserialize Bonary Tree) (0) | 2021.08.08 |
|---|---|
| [LeetCode/Python] 226.이진 트리 반전(Invert Binary Tree) (0) | 2021.08.07 |
| [LeetCode/Python] 543.이진 트리의 직경(Diameter of Binary Tree) (0) | 2021.08.07 |
| [LeetCode/Python] 104. 이진 트리의 최대 깊이(Maximum Depth of Binary Tree) (0) | 2021.08.07 |
| [LeetCode/Python] 787. Cheapest Flights Within K Stops (0) | 2021.08.01 |