반응형
250x250
Notice
Recent Posts
Recent Comments
Link
| 일 | 월 | 화 | 수 | 목 | 금 | 토 |
|---|---|---|---|---|---|---|
| 1 | ||||||
| 2 | 3 | 4 | 5 | 6 | 7 | 8 |
| 9 | 10 | 11 | 12 | 13 | 14 | 15 |
| 16 | 17 | 18 | 19 | 20 | 21 | 22 |
| 23 | 24 | 25 | 26 | 27 | 28 | 29 |
| 30 |
Tags
- python #백준 #2580 #스도쿠 #dfs #백트래킹
- gcd #최대공약수 #백준 #2981 #검문
- dfs #python #leetcode #combination
- 리트코드 #팰린드롬 #파이썬
- dfs #bfs #이진트리 #파이썬 #리트코드
- dfs #bfs #트리구조 #이진트리 #leetcode #python #파이썬
- context #android #getApplicationContext #activity #생명주기 #lifecycle
- 다익스트라 #알고리즘 #bfs #그리디 #다이나믹프로그래밍 #leetcode #python
- Python #leetcode #dfs #그래프 #백트래킹
- exoplayer #mediaplayer #엑소플레이어 #안드로이드 #android
- 다익스트라 #dijkstra #leetcode #파이썬 #python #algorithm #787
- 해시테이블 #heapq #파이썬 #리트코드 #알고리즘
- 2004 #조합 0의 개수 #백준
- python #백준 #9375 #패션왕 #신해빈
- leetcode #subsets #dfs #itertools #python
- dfs #이진트리 #트리구조 #직렬화 #역직렬화 #파이썬 #리트코드 #leetcode #python
- dfs #leetcode #python
- dfs #그래프 #graph #python #leetcode #course #schedule
- dfs #bfs #leetcode #python
- dfs #leetcode #python #graph #그래프
- 파이썬 #zip
- dfs #bfs #트리구조 #이진트리 #leetcode #파이썬 #python
- AsyncTask #doinbackground #스레드 #thread #android #안드로이드
- handler #looper #thread #runnable #핸들러 #루퍼 #스레드 #러너블
- 아스테리스크 #Asterisk #파이썬
- 백준 #파이썬 #bfs #백트래킹 #1697 #숨바꼭질
- final #java #자바 #안드로이드
- dfs #python #leetcode
- 코틀린 #Do it #깡샘 #안드로이드
- leetcode #python #dfs #재귀
Archives
- Today
- Total
멋진 개발자가 되고 싶다
[LeetCode/Python]110.균형 이진 트리(Balanced Binary Tree) 본문
Algorithm Study/leetcode
[LeetCode/Python]110.균형 이진 트리(Balanced Binary Tree)
오패산개구리 2021. 8. 8. 19:20728x90
반응형
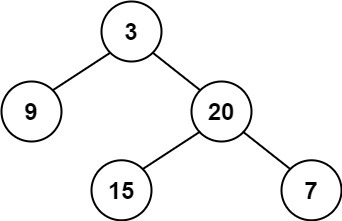
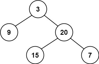
이진 트리가 높이 균형인지 판단하라.
※ 높이 균형은 모든 노드의 서브 트리 간의 높이 차이가 1 이하인 것을 말한다.

1. 재귀 구조로 높이 차이 계산
|
1
2
3
4
5
6
7
8
9
10
11
12
13
14
15
16
17
18
19
|
# Definition for a binary tree node.
# class TreeNode:
# def __init__(self, val=0, left=None, right=None):
# self.val = val
# self.left = left
# self.right = right
class Solution:
def isBalanced(self, root: Optional[TreeNode]) -> bool:
def check(root):
if not root:
return 0
left = check(root.left)
right = check(root.right)
# 높이 차이가 나는 경우 -1, 이외에는 높이에 따라 1 증가
if left == -1 or right == -1 or abs(left - right) > 1:
return -1
return max(left,right) + 1
return check(root) != -1
|
cs |
해설
리프 노드부터 높이를 쌓아 올려 나간다.
그러다 왼쪽과 오른쪽 높이 차이가 2 이상 나면
높이가 불균형이기 때문에
-1을 리턴하고 이후 left나 right가 계속 -1이기 때문에
dfs의 최종 리턴 값은 -1이 된다.
따라서 check의 리턴 값이 -1이면 False
그 이외의 값이면 True를 리턴한다.
728x90
반응형
'Algorithm Study > leetcode' 카테고리의 다른 글
| 336. Palindrome Pairs (0) | 2021.11.17 |
|---|---|
| [LeetCode/Python] 297.이진 트리 직렬화 & 역직렬화(Serialize and Deserialize Bonary Tree) (0) | 2021.08.08 |
| [LeetCode/Python] 226.이진 트리 반전(Invert Binary Tree) (0) | 2021.08.07 |
| [LeetCode/Python] 687.가장 긴 동일 값의 경로(Longest Univalue Path) (0) | 2021.08.07 |
| [LeetCode/Python] 543.이진 트리의 직경(Diameter of Binary Tree) (0) | 2021.08.07 |